Faktor Yang Mempengaruhi Perkembangan Kanak Kanak Dari Aspek Baka





Faktor Yang Mempengaruhi Perkembangan Kanak

Faktor Yang Mempengaruhi Perkembangan Kanak

Faktor Baka Yang Mempengaruhi Perkembangan Kanak

Faktor Baka Yang Mempengaruhi Perkembangan Kanak

Rewan Ishak No Twitter Faktor Faktor Yang Mempengaruhi Perkembangan Kanak Kanak Faktor Baka Nature Faktor Persekitaran Nurture Https T Co Bovh6codxe Https T Co Ijvzzxl4yg

Rewan Ishak No Twitter Faktor Faktor Yang Mempengaruhi Perkembangan Kanak Kanak Faktor Baka Nature Faktor Persekitaran Nurture Https T Co Bovh6codxe Https T Co Ijvzzxl4yg

Edup3023 Perkembangan Kanak Kanak Faktor Yang Mempengaruhi Perkemban

Edup3023 Perkembangan Kanak Kanak Faktor Yang Mempengaruhi Perkemban

Perkembangan Kanak Kanak

Perkembangan Kanak Kanak

Faktor Baka Yang Mempengaruhi Perkembangan Kanak

Faktor Baka Yang Mempengaruhi Perkembangan Kanak

Faktor Baka Yang Mempengaruhi Perkembangan Kanak

Pengalaman sebelum lahir merangkumi pemakanan dan kesihatan ibu gaya hidup ibu rawatan yang diterima ibu usia dan keadaan emosi ibu.

Faktor yang mempengaruhi perkembangan kanak kanak dari aspek baka. Faktor ini merujuk kepada keadaan semasa proses perkembangan kanak kanak. E perkembangan banyak mempengaruhi oleh faktor faktor baka dan juga persekitaran. Aspek iaitu aspek jasmani kognitif emosi sosial dan rohani. Perkembangan ini biasanya dikaitkan dengan perkembangan atau perubahan fizikal tubuh badan.

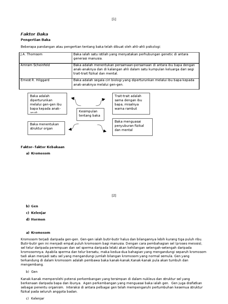
Baka persekitaran nature nurture pelopor kepada kajian johann gregor mendel 1822 pengaruh genetik terhadap 1889 pertumbuhan dan perkembangan manusia faktor baka dikenali gen yang terdiri daripada nukloprotein yang menentukan baka atau ciri keturunan. Ini termasuklah pengalaman sebelum dan selepas lahir. Faktor baka baka atau dikenali juga sebagai keturunan merupakan ciri ciri perwarisan yang dibawa oleh ibu bapa kepada anak anak ciri ciri yang ada adalah seperti warna kulit saiz fizikal warna mata dan lain lain. Perkembangan seseorang kanak kanak amat dipengaruhi oleh baka atau keturunan dan faktor persekitaran.

Baka atau keturunan merupakan ciri ciri perwarisan yang dibawa oleh ibu bapa kepada anak anak. Sebagai contoh kanak kanak yang selalu tidak bersarapan pagi semasa hendak ke sekolah akan menyebabkan tahap perkembangan mental emosi serta sosial akan terjejas. Kelima lima aspek ini pula adalah berasakn kepada 2 faktor yang utama iaitu dipengaruhi oleh faktor baka dan faktor persekitaran. Faktor kedua yang mempengaruhi perkembangan kanak kanak ialah persekitaran.

Faktor Yang Mempengaruhi Perkembangan Kanak Kanak Dari Aspek Baka Dan Persekitaran

Faktor Yang Mempengaruhi Perkembangan Kanak Kanak Dari Aspek Baka Dan Persekitaran

Budak Ganu Kite Faktor Faktor Yang Mempengaruhi Perkembangan Kanak Kanak

Budak Ganu Kite Faktor Faktor Yang Mempengaruhi Perkembangan Kanak Kanak

Faktor Yang Mempengaruhi Perkembangan Kanak Kanak Dari Aspek Baka Dan Persekitaran

Faktor Yang Mempengaruhi Perkembangan Kanak Kanak Dari Aspek Baka Dan Persekitaran

Faktor Mempengaruhi Perkembangan Kanak Kanak

Faktor Mempengaruhi Perkembangan Kanak Kanak

Faktor Yang Mempengaruhi Perkembangan Kanak Kanak Dari Aspek Baka Dan Persekitaran

Faktor Yang Mempengaruhi Perkembangan Kanak Kanak Dari Aspek Baka Dan Persekitaran

Faktor Faktor Mempengaruhi Perkembangan Kanak Kanak

Faktor Faktor Mempengaruhi Perkembangan Kanak Kanak

Perkembangan Kanak Kanak

Perkembangan Kanak Kanak

Rewan Ishak No Twitter Faktor Faktor Yang Mempengaruhi Perkembangan Kanak Kanak Faktor Baka Nature Faktor Persekitaran Nurture Https T Co Bovh6codxe Https T Co Ijvzzxl4yg

Rewan Ishak No Twitter Faktor Faktor Yang Mempengaruhi Perkembangan Kanak Kanak Faktor Baka Nature Faktor Persekitaran Nurture Https T Co Bovh6codxe Https T Co Ijvzzxl4yg

Perkembangan Kanak Kanak

Perkembangan Kanak Kanak

Faktor Yang Mempengaruhi Perkembangan Kanak Kanak Dari Aspek Baka Dan Persekitaran

Faktor Yang Mempengaruhi Perkembangan Kanak Kanak Dari Aspek Baka Dan Persekitaran

Doc Perkembangan Kanak Kanak Jean Piaget Vygotsky Putih Kertas Academia Edu

Doc Perkembangan Kanak Kanak Jean Piaget Vygotsky Putih Kertas Academia Edu

Doc Perkembangan Kanak Kanak Edu 3023 Mo Jo Academia Edu

Doc Perkembangan Kanak Kanak Edu 3023 Mo Jo Academia Edu

Faktor Yang Mempengaruhi Perkembangan Kanak Kanak Dari Aspek Baka Dan Persekitaran

Faktor Yang Mempengaruhi Perkembangan Kanak Kanak Dari Aspek Baka Dan Persekitaran

Faktor Faktor Yang Mempengaruhi Perkembangan Kanak Kanak

Faktor Faktor Yang Mempengaruhi Perkembangan Kanak Kanak

Source : pinterest.com