Kerajaan Awal Di Asia Tenggara Pdf

Bab 3 tamadun awal asia tenggara 3 1 1 ciri ciri kerajaan agraria 5 a nyatakan ciri ciri kerajaan agraria.
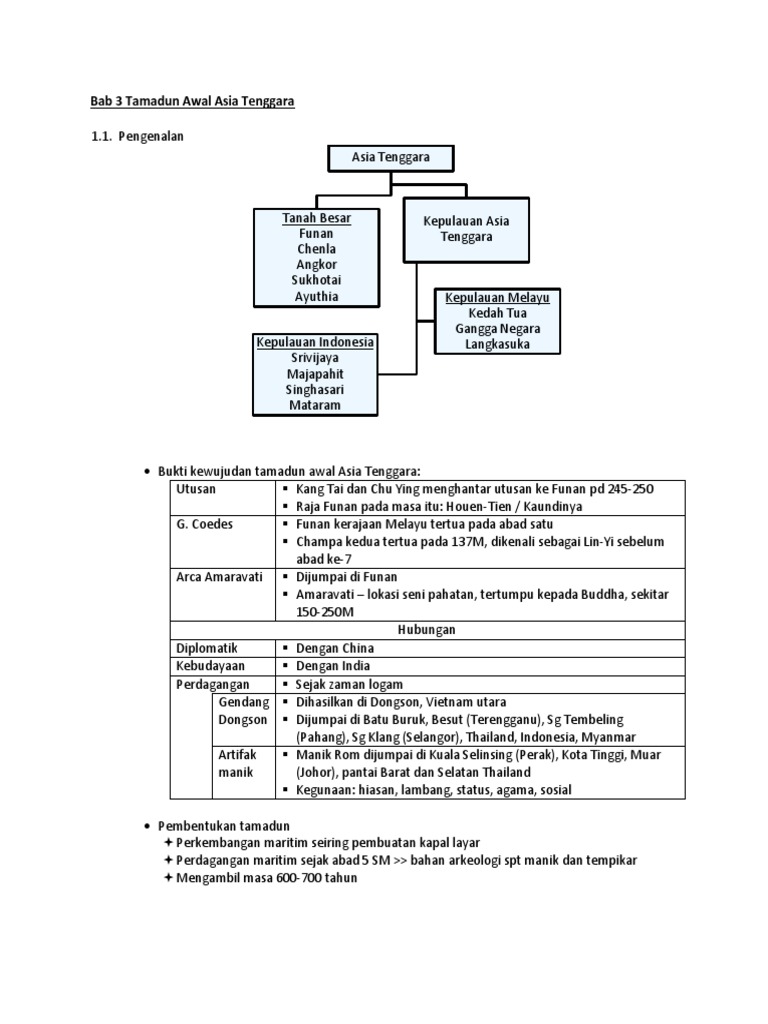
Kerajaan awal di asia tenggara pdf. K orean kedah tua. Kegemilangan kerajaan semasa pemerintahan hayam wuruk raja senagara dan perdana menteri iaitu patih gajah mada. Apakah persamaan antara kedua dua kerajaan tersebut. Kewujudan tamadun awal di tanah besar asia tenggara terbukti dengan kemunculan kerajaan seperti funan angkor sukhotai dan ayuthia.
Mahabharata diadun unsur tempatan menjadi hikayat pandawa lima dan ramayana menjadi hikayat seri rama 4. Hingga ke 13 m abad ke 7 m. Kerajaan awal di asia tenggara. Gajah gajah untuk kenderaan raja diperolehi daripada kerajaan agraria.
Kerajaan agraria kerajaan maritim contoh kerajaan agraria. Dikunjungi oleh pedagang dari luar dari asia tenggara china india dan timur tengah. Terdapat 2 bentuk kerajaan awal di asia tenggara iaitu. Kerajaan awal di asia tenggara.
Hutan kerajaan agraria membekalkan hasil hutan kepada kerajaan agraria sebagai tukaran dalam perdagangan. 6 markah kertas soalan tamat. A perluasan kuasa b kawasan pertanian yang luas c pusat pengajian agama hindu d ekonomi berasaskan perdagangan 2011 4 bab 3. Kerajaan zaman kedah tua abad ke 5 m.
Hasil pertanian. Pelabuhan utama ialah kataha dan temasik. Terletak ditanah subur lem sg dan tanah subur kegiatan berburu mengutip hasil hutan dan menangkap ikan. Dalam kerajaan awal di asia tenggara pemerintahan beraja raja sebagai ketua pemerintah pentadbiran secara berpusat dibantu 4 kumpulan anak raja yuvaraja pratiyuvaraja raja kumara raja putra 3 orang anak raja yang awal boleh menggantikan raja kecuali raja putra anak.
Jadual berikut menunjukkan antara kerajaan awal di asia tenggara. 6 markah b terangkan faktor kemajuan kerajaan angkor dalam bidang pertanian. Sejarah tingkatan 4 bab 3. Kesusasteraan india spt ramayana dan mahabharata menyumbang kepada unsur mitos kesusasteraan klasik at.
Tamadun awal di asia tenggara. Tamadun awal asia tenggara 1249 2 sejarah kertas ii 3 nag2oo9 mewah kerajaan agraria bergantung kepada kerajaan maritim untuk mendapatkan barangan mewah dari luar. 8 markah c berikan cadangan anda untuk meningkatkan sektor pertanian di negara kita. Kerajaan awal di asia tenggara kerajaan agraria ciri ciri kerjaaan kerajaan agraria berasaskan pertanian.
Hingga ke 13 m.